2.1.2.1 原料16
2.1.2.2 分析测试16
2.1.2.3实验步骤16
2.2简单有机酸催化下的绿色高选择性二氯代反应普适性探索19
2.2.1 结果与讨论19
2.2.2 实验部分21
结论 25
致谢26
参考文献 27
1 绪论
1.1 芳香族卤代物的合成方法
1.1.1 芳香族化合物卤代反应主要卤代试剂
较为常用且廉价的卤代试剂有氯气, SOCl2, SO2Cl2, HCl和液溴等,但这类试剂毒性较大,对生产设备有较强的腐蚀性,难于生产和运输,反应过程中还会产生大量酸性废气,不符合绿色化学的理念,因此探索出新型的绿色卤代试剂已成为一种必然的趋势。目前,众多研究者已经发现了很多环境友好型的卤代试剂,其中包括N-氯代丁二酰亚胺( NCS)、N-溴代丁二酰亚胺( NBS)、MgCl2、CuCl2、1, 3-二氯-5, 5-二甲基海因( DCDMH)、1, 3-二溴-5, 5-二甲基海因( DBDMH)和三氯异氰尿酸(TCCA)等。其中1, 3-二氯-5, 5-二甲基海因( DCDMH) 和1, 3-二溴-5, 5-二甲基海因( DBDMH) 是一类廉价的新型消毒杀菌剂和漂白剂, 已被广泛应用于工业和生活用水的消毒和杀菌。TCCA作为廉价易得环境友好的氯代试剂也已被广泛应用到精细化工领域。
1.1.2 卤代反应合成方法举例
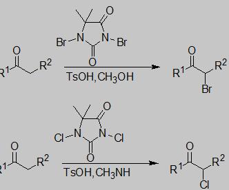
以苯乙酮的卤代反应为研究对象,上海应用技术学院的陈梓湛等人也提出了一类使用DCDMH和DBDMH作为绿色卤代试剂,以温和的条件为前提制备纯度较高的α-单卤代或者α, α-二卤代苯乙酮的方法。对此,他们以DCDMH和DBDMH作为卤代试剂对各种脂肪酮和β-酮酯等羰基化合物的卤代反应做了一系列的研究,主要反应见图1.1

图1.1 二卤海因与羰基化合物的A-卤代反应
另外,三氯异氰尿酸也是芳香族卤代反应中重要的氯代试剂,把它作为研究对象查阅了一系列的文献,发现陈梓湛,吴玉锋等人也对其在水-甲醇可重复利用体系中的氯代反应中做过一些研究,他们在文章中提出将水作为反应介质,甲醇充当助溶剂,廉价低毒的三氯异氰尿酸用作氯化剂,把对甲苯磺酸用作催化剂,在室温下发生氯代反应,将苯乙酮类含有强供电子基团的芳香族化合物作为底物,取得了良好的效果,产率最高达95.2%,而且他们将水-醇反应体系重复利用5次氯代物的产率都没有明显的下降趋势,可见以TCCA做氯代试剂是一种简单、高效、产率高、可重复利用、符合绿色化学理念的好方法。这几位研究人员的研究中最为典型的是α-氯代苯乙酮的合成 芳香族化合物快速卤代反应的研究(2):http://www.751com.cn/huaxue/lunwen_35093.html

