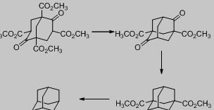
2.9 2,2,6,6-二乙撑二氧基-4-硝基金刚烷(2.8)的合成 2
2.10 4-硝基-2,6-金刚烷二酮(2.9)的合成 2
2.11 4-硝基-2,6-金刚烷二酮肟(2.10)的合成 2
2.12 2,2,4,6,6-五硝基金刚烷(2.11)的合成 2
2.13 2,2,4,6,6-五硝基金刚烷-4-钠盐(2.12)的合成 2
2.14 2,2,4,4,6,6-751硝基金刚烷(2.13)的合成 2
结 论 2
致 谢 2
参考文献2
附 图.28
1 绪论
高新技术、战略的不断发展,如推进航空、航天事业的发展,核武器,兵种武器的战斗力等,各军对含能材料(炸药,起爆药等)提出了更严格的要求。而研究新型高能、钝感的高能量密度材料(HEDMs)不仅能提高各军战斗力,更对提升国防实力有着重要的意义。因此世界各国都在关注高能、低感高能量密度材料(HEDMs)的合成和研制,其中就包括硝基笼状化合物的制备研究。
由于含能材料内在的能量和稳定性的矛盾,高能、钝感高能量密度材料(HEDMs)的发展一直是含能材料领域的一个挑战,而如何提高含有材料的能量,同时又保证其具有足够的稳定性则是含能材料领域专家需要重点解决的难题。
有机笼状高能密度化合物,由于以结构对称的金刚烷、立方烷、异伍兹烷等三文笼状骨架为母体,再在碳骨架上引入致爆基团,因此具有高能、耐热、钝感等优点,可同时应用于军事和民事领域[ ]。早在1991年,美国国防部21个关键项目中就包括有机笼状高能密度化合物在内的高能量密度材料(HEDMs)的研究[ ]。
其中多硝基金刚烷由于金刚烷骨架上含有较多的碳原子,可设计性强,而其能量及爆轰性也随着环上硝基数目的增加而增加,从而是一种潜在的高能炸药。
1.1 金刚烷概述
金刚烷(三环[3.3.1.13,7]癸烷),结构高度对称、与金刚石的结构类似。X射线单晶衍射结果表明,金刚烷的C—C键具有与金刚石中的C—C键极其接近的键长(0.154 nm),而金刚烷类似椅式环己烷构成的结构使其分子间能够紧密堆积,因此具有相当高的热稳定性[ ]。
1933年,Landa[ ]从南摩拉文亚油田的原油分馏物中分离出金刚烷,并最早由Prelog[ - ]于1941年通过逐步合成法经历二十几步合成(图1.1)。

图1.1 金刚烷的合成
然而关于金刚烷的系统研究则要到1957年,Schleyer[ ]以环戊二烯二聚体为原料,通过烯烃的还原、异构化两步制得金刚烷,大大降低了金刚烷的使用成本。
金刚烷具有独特的结构,因此赋予其独特的物理性质、化学性质[ ],可广泛应用于医药领域[ - ],沸石催化剂的结晶模板[ ]和高温聚合物合成单体[ ]。金刚烷桥头C-原子上活性较高,可以很容易地引入取代基,这些功能化的金刚烷衍生物具有重要的药物活物,如盐酸金刚烷胺(阿曼他定)可以作为抗运动障碍药用于治疗帕金森综合症及其并发症[ ]或作为抗病毒药用于预防和治疗各种A型流感病毒的感染[ ]。此外,硝基金刚烷独特的骨架结构使其具有高能、耐热、钝感等优点,在军事及航天工业领域中具有很大的应用前景。
1.2 多硝基金刚烷的合成研究进展
硝基笼状化合物的合成,以纯碳环的硝基笼状化合物的合成较为困难,其合成方法一般包括碳氢笼状化合物的直接硝化和间接法。
Olah等在硝基乙烷中用NO2BF4对金刚烷直接进行硝化,以74%的收率得到1-硝基金刚烷,但该反应时间较长,需要4~7天才能反应完全[ ];日本的Suzuki等在-78 ℃下对金刚烷进行Kyodai硝化反应也合成出1-硝基金刚烷,且1-硝基金刚烷的收率提高到90%[ - ];而在2009年,张琳等对Kyodai硝化反应进行了工艺优化,用过量的NO2在臭氧存在下对金刚烷进行硝化,使反应在-30 ℃即可进行,且2 h就可以实现完全转化,1-硝基金刚烷的收率高达92%[ ](图1.2)。人们认为,改变NO2硝化的反应条件仅能得到单硝化的产物,连二硝化的产物也很少。 2,2,4,4,6,6-六硝基金刚烷的合成工艺研究(2):http://www.751com.cn/huaxue/lunwen_31358.html

