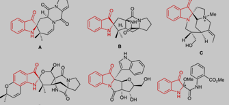
吲哚酮在合成的和天然存在的生物活性化合物中经常被发现。因此,在过去的几年里,结构复杂的AD-vancement的不对称合成已经被见证。尤其,2-吲哚酮衍生物的对映选择性合成是在我们科学研究的前沿。3-吲哚酮是因为在具有生物活性的天然和非天然的产品大量的结构的频繁发生的特别杂环结构基序。此外,它们也可以作为用于复杂分子合成为有价值中间体由于其潜在的反应性,它们可以经受高选择性转换。令人吃惊的是,只有少数文章报道过制备方法。因此,新颖的方法的发展3-氧基吲哚的合成是非常可取的,尤其是那些具有高效率,灵活性和良好的模块化的反应。3-吲哚酮承载的多个立体中心的广泛的生物活性天然产物也被找到诸如austamide图(A)中, brevianamide A图(B),fluorocurine图(C), notoamide O图(D),isatisine A图(E),和cephalinone图(F),如图1.1 [ ]

图1.1含3-吲哚酮的天然产物
1.2 吲哚酮类化合物的生物活性
在杂芳烃中,在许多药品以及有生物活性的化合物中发现的吲哚衍生物是非常重要的构建模块。尤其是3—吲哚酮衍生物是最有潜力的材料,被应用于乙酰胆碱酯酶检测组织切片,可以被用作起始前体合成的潜在5 -羟色胺(5-HT 6 )受体配体支架。因此,通过吲哚衍生物高效的合成3—吲哚酮衍生物是非常可取的。[ ]
众所周知,植物的线粒体中往往在发生氧化反应时容易产生自由基。细胞会因这些自由基而老化、增殖甚至产生癌变。吲哚在体内的氧化代谢产物是3-羟基吲哚-2-酮。小鼠体内代谢物被分离出来,这些叫吲哚3一乙酸,并且做了测试,证实这些化合物的确具有抗氧化的作用。[ ]
两种3-氰甲基一3-羟基吲哚酮化合物由Komakine小组从寥科植物Rheum maximowiczii中分离出来。这种植物是乌兹别克斯坦一种传统药物,可以被应用于治疗胃痉挛和泻药。Komakine小组通过进一步的研究证明:这类化合物作用在细菌脂多糖上可以诱使细胞因子抑制IL-10的产生并且加速产生IL-12。通过上调某些特殊因子,这种化合物具有潜在治疗Th2型自身免疫性疾病的作用。[ ]
Convolutamydines是最早被分离出来的吲哚酮生物碱,它是从一种海洋苔鲜虫内被分离出来的。该类生物碱是从佛罗里达墨西哥湾北部的Amathia convolute中由Petit小组分离得到。Convolutamydines这种物质的骨架结构是4,6一二溴-3羟基吲哚酮,而且有一个季碳的手性中心在C-3位。Convolutamydines的作用是可以诱发早幼粒细胞性白血病细胞HL-60的正常分化,在浓度12-25μg/mL时达到吞噬的效果,在浓度为0.1-25μg/mL时达到粘附的效果。[ ]
一类结构特殊的化合物由Kobayashi小组从白桂皮或千口红根科植物Cinnamodendron axillale中分离出,名称为Paratunamides。它是巴西一种常用药材,这种千口红根植物被用作治疗扁桃体炎或健胃剂。Paratunamides可能是异长春花普内酞胺生物合成通过氧化断裂C-2和C-3键。其中Paratunamides D通过体外测试证明对人体KB细胞表皮样癌的细胞毒作用良好。[ ]
Ohnuki小组在研究S20蛋白酶抑制剂时,发现了四个新的结构TMC-95从APiospora montagnei Sacc. TC1093发酵液中。从口本神奈川县的竹林土壤中提取分离得到的这种细菌。通过对TMC-95 A-D结构的进一步研究发现,发现它具有一个环状多肤结构,包括了L一天门冬酞胺,L一酪氨酸,3-羟基吲哚-2-酮,3一甲基一2-氧代戊酸,(Z)-1一丙烯胺,在C7和C36位置具有手性。通过研究发现这些化合物都可以表现出对蛋白酶的抑制作用。[ ]